За даними Держкомстату, врожайність насіння ріпаку зросла з 1,7 т/га у 2010 році до 2,5 т/га у 2014 році. На думку вчених, істотне збільшення продуктивності цієї культури обумовлене впровадженням у виробництво сучасних гібридів ріпаку озимого. За останні роки значно змінився асортимент гібридів. Якщо у 2010 році до Державного Реєстру сортів рослин, придатних до поширення в Україні, було внесено 60 гібридів, то на 2015 рік — 192 гібриди ріпаку озимого. Це ще раз підтверджує, що продуктивність ріпаку озимого на 50% обумовлюється генетичним потенціалом гібрида.
Через тривалий вегетаційний період ріпаку озимого створення нових гібридів триває близько 10 років. Інноваційна технологія подвоєння гаплоїду, розробка яку використовує Євраліс Семенс, дозволила значно прискорити цей генетичний процес. Ця технологія не містить ГМО. Перевага такого селекційного методу полягає у тому, що отримання потрібної батьківської лінії з певними ознаками триває 13 місяців. Це дозволило створити гібриди ріпаку нового покоління з високим генетичним потенціалом та імунітетом до шкідливих організмів та стресових умов вегетації (температурного, водного, пестицидного). Потенційна врожайність гібридів ріпаку озимого Євраліс Семенс — 65 ц/га. Для підтвердження такого рівня врожайності наведемо можливі рівні врожайності гібридів ріпаку озимого в межах окремих агрокліматичних зон (табл. 1).
Таблиця 1. Кліматично-забезпечена врожайність ріпаку озимого, ц/га

Так, потенційна врожайність насіння ріпаку озимого, за умови засвоєння протягом вегетації 3,0% ФАР, коливається від 71,9 до 75,7 ц/га. В цьому випадку водний, температурний і поживний режими відповідають біології культури, а технологія вирощування — є науково обгрунтованою. Таким чином, лімітуючим фактором, який обмежує реалізація генетичного потенціалу, є здатність рослин акумулювати ФАР. Кліматично-забезпечена врожайність за ресурсами тепла та вологи на 30% є нижчою, що свідчить про істотний вплив цих факторів на реалізацію максимальної продуктивності гібридів. Рівень урожайності ріпаку озимого за природної родючості перевищує середню по окремих агрокліматичних зонах, що свідчить про невідповідність технологій вирощування. Євраліс Семенс наголошує на необхідності розробки нових та удосконалення існуючих елементів технології вирощування та адаптація їх до морфобіологічних особливостей гібридів.
Підвищити ефективність використання природних ресурсів та реалізувати генетичний потенціал гібридів Євраліс Семенс можливо за рахунок удосконалення структури посіву через оптимізацію густоти стеблостою, яка забезпечується строками сівби та нормою висіву насіння.
Біологічна основа врожаю озимого ріпаку (зимостійкість та урожайність насіння) закладається восени і залежить насамперед від строків сівби. За оптимальної тривалості періоду утворення осінньої розетки рослини входять у зиму з добре розвиненою кореневою системою, що є основою їх успішної перезимівлі. Пізні посіви недостатньо зимостійкі. Від строків сівби залежить і продуктивність ріпаку. У ранніх посівах тривалість формування генеративних органів хоч і збільшується, але врожайність не зростає, оскільки внаслідок передчасного утворення стебла знижується рівень зимостійкості.Рекомендовані строки сівби слід коригувати, зважаючи на погодні умови та наявність вологи в ґрунті. Для отримання дружніх і повних сходів на 1 см ґрунту повинно припадати 1 мм доступної вологи рослинам. Якщо в серпні прогнозується посуха, сівбу доцільно провести раніше. Це ризикований захід, адже в разі сприятливих умов для росту й розвитку у вересні-жовтні є небезпека переростання рослин і, як наслідок, зниження їх зимостійкості через передчасне формування стебла. У цьому випадку потрібно планувати обробку посівів регуляторами росту в період формування осінньої розетки. Ріпак озимий висівають за 20-25 днів до оптимальних строків сівби пшениці озимої.
При виборі оптимального строку сівби слід враховувати інтенсивність розвитку гібриду. Гібриди ріпаку Євраліс Семенс характеризуються високою енергією стартового росту й розвитку восени, рослини є стійкими до стресових умов середовища за пізніх строків сівби. Гібриди ЕС Гідромель, ЕС Алонсо, ЕС Нептун, ЕС Меркурій придатні для пізніх строків сівби. Відповідно, за ранніх строків вони потребують обов’язкового внесення регуляторів росту. Гібриди ЕС Артіст та ЕС Дануб характеризуються відносно повільним початковим ростом, а тому сівбу їх доцільно проводити за оптимально ранніх строків сівби.

Отже, компанія Євраліс Семенс пропонує гібриди ріпаку, які є пластичними до строків сівби. Так, ЕС Гідромель, ЕС Алонсо, ЕС Нептун рекомендовано висівати з 10 серпня по 25 вересня. ЕС Артіст, ЕС Меркурій та ЕС Дануб — з 5 серпня по 15 вересня. ЕС Гідромель та ЕС Дануб — найбільш пластичні гібриди до строків сівби.
Встановлення оптимальної глибини заробки насіння гарантує отримання повноцінних сходів з підвищеною стійкістю рослин до хвороб і пошкодження шкідниками. Ріпак не витримує глибокого загортання насіння, оскільки епікотиль рослин сильно виснажуються внаслідок механічного пошкодження та втрачає стійкість до патогенної мікрофлори й інтенсивно уражуються збудниками чорної ніжки. На легких ґрунтах глибина заробки насіння сягає 2,5-3,0 см, на важких — 1,5-2,0 см.
При обґрунтуванні норми висіву насіння слід враховувати строки сівби, якість підготовки, запаси вологи в ґрунті та здатність до гілкування. Загущення посівів за ранніх строків сівби призводить до посилення конкуренції між рослинами, що спричиняє переростання (входження рослин у фазі стеблування) і різке зниження зимостійкості. За пізніх строків сівби доцільно збільшувати норми висіву, оскільки ймовірність входження у зиму в оптимальній фазі знижується, а тому зростає ризик зрідження посівів в період перезимівлі. Доцільно також збільшувати норму висіву за умов недостатнього зволоження та неякісного обробітку ґрунту внаслідок зниження польової схожості насіння. За несприятливих умов та пізніх строків сівби кількість насіння на одиницю посівної площі необхідно збільшувати на 10-20%.
В загущених посівах, внаслідок посилення конкуренції між рослинами за світло, відмічається витягуванню центрального пагона, що збільшує ризик вимерзання рослин, їх вилягання у процесі вегетації, ураження хворобами, що знижує реалізацію генетичного потенціалу. На зріджених посівах відмічається підвищення забур’яненості посівів, формування недостатньої кількості стручків на одиницю площі і, як наслідок, зниження урожайності.
Досить важливим є здатність до гілкування, що є одним із шляхів компенсації втрат під час перезимівлі. Найбільш інтенсивно гілкування відбувається в посівах за густоти стеблостою від 300 до 450 тис./га. Здатність до гілкування сортів значно нижча, ніж у гібридів. Євраліс Семенс пропонує гібриди з сильною здатністю до гілкування, що забезпечує високий та стабільний урожай. ЕС Меркурій та ЕС Дануб мають чудову здатність до гілкування, а тому норму висіву насіння потрібно зменшувати на 10-15%.
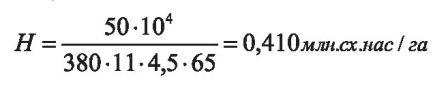
Євраліс Семенс пропонує при визначенні оптимальної норми висіву насіння враховувати також рівень програмованої врожайності. Наведемо приклад розрахунку норми висіву насіння гібриду ЕС Дануб на програмовану врожайність 5 т/га.

де Н — норма висіву насіння, млн сх. нас/га; У — програмована врожайність, ц/га; К — кількість стручків на рослині, шт; З — кількість насіння в стручку, шт.; А — маса 1000 насінин, г; ВЗАГ — загальне виживання рослин протягом вегетації, %.

Отже, норма висіву насіння гібриду ЕС Дануб на урожайність 5 т/га з урахуванням морфологічної структури рослин та загального виживання посівів має сягати 410 тис./га.
Норма висіву гібридів Євраліс Семенс залежить від строку сівби, архітектоніки рослини та вологозабезпеченості і становить 350-500 тис. насінин/га:
- ЕС Гідромель — 500 000 насінин/га;
- ЕС Нептун — 500 000 насінин/га;
- ЕС Артіст — 400 000 насінин/га;
- ЕС Меркурій — 350 000 — 420 000 насінин/га;
- ЕС Алонсо — 500 000 насінин/га;
- ЕС Дануб — 400-500 000 насінин/га.
Густота стояння рослин істотно впливає на елементи структури врожаю, зокрема на формування пагонів ІІ і наступних порядків, кількості стручків та насіння. Так, у гібрида ЕС Гідромель найбільша кількість стручків на рослині формується при нормі висіву 500 тис./га — 641 шт. При збільшенні до 700 тис./га, їх кількість зменшується до 393 шт. або на 38,7%, що зумовлено гіршими умовами освітлення. У гібрида ЕС Нептун спостерігається аналогічна закономірність формування елементів структури врожаю.
Гібрид ЕС Меркурій високу індивідуальну продуктивність рослин формує при нормі висіву насіння 400 тис./га. Зі збільшенням густоти стеблостою відмічається зменшення кількості стручків, насіння та маси 1000 насінин, що зумовлено посиленням конкуренції у посіві за світло, вологу та поживні речовини.
Гібриди Євраліс Семенс відносно норми висіву насіння можна умовно поділити на дві груп: перша — можуть бути посіяні із вищою густотою — ЕС Гідромель та ЕС Нептун (500 тис. нас./га) та гібриди, норма висіву яких повинна бути зменшена, — ЕС Меркурій — 350-450 тис. нас./га, ЕС Алонсо та ЕС Дануб — 400 тис. нас./га. Остання група вирізняється дуже високим рівнем гілкування.
Євраліс Семенс досліджує характеристики кожного гібриду, які впливають на реалізацію їх генетичного потенціалу. Нижче наведено основні характеристики гібридів ріпаку озимого, які рекомендуються для сівби під урожай 2016 року.
ЕС Гідромель — ранньостиглий стабільний гібрид, характерне раннє стеблування та дозрівання. Ефективне гілкування гілочок 1-го порядку (83-88%), стійкість до циліндроспоріозу, склеротиніозу та фомозу — вище середньої. Має підвищену стійкість до розтріскування стручків. Пластичний до площі живлення рослин, рекомендована норма висіву насіння — 500 тис./га.
Елементи структури врожаю гібрида ЕС Гідромель, 2014

ЕС Алонсо — середньоранній, потенціал урожайності — 65 ц/га, високий рівень морозостійкості та гілкування (86-89%), формує велику кількість стручків (654-861 шт., переважно на гілочках 2-го порядку, які вирізняються більшим розміром), швидкий стартовий розвиток, висока стійкість до вилягання, рекомендована норма висіву — 500 тис. насінин/га.
ЕС Нептун — середньоранній, швидкий стартовий ріст, висока стійкість до осипання та розтріскування стручка, зимостійкий. Характеризується достатньо рівними агрономічними показниками. Найбільшу кількість стручків формує на гілочках 2-го порядку, потенціал урожайності — 65 ц/га. Рекомендована норма висіву насіння — 500 тис./га.
Елементи структури врожаю гібрида ЕС Нептун, 2014

ЕС Дануб — середньоранній, потенціал 65 ц/га, високий вміст жиру в насінні, низький вміст ерукової кислоти та глюкозинолатів, хороша морозостійкість, висока здатність до гілкування, формує велику кількість стручків (542 шт., переважно на гілочках 3-го порядку), середня кількість насінин у стручку — 7,8 шт., висока маса 1000 насінин — 7,3 г, швидкий стартовий розвиток, підвищена стійкість до хвороб (циліндроспоріозу, склеротиніозу і максимальна стійкість до фомозу), рекомендована густота посіву — 400 тис. насінин/га.
ЕС Меркурій — середньостиглий, стабільний за врожайністю, потенціал 65 ц/га, дуже високий рівень морозостійкості та гілкування (87-91%), формує велику кількість стручків (673-899 шт., особливо на гілочках 2-3-го порядків), надзвичай швидкий стартовий розвиток, максимальна стійкість до вилягання, рекомендована норма висіву насіння — 350-420 тис. насінин/га.
Елементи структури врожаю гібрида ЕС Меркурій, 2014

Отже, гібриди ріпаку озимого від Євраліс Семенс характеризуються наступними біологічними та господарсько-цінними ознаками: формування стабільно високої урожайності в складних умовах вирощування; складові врожайності гібридів ріпаку озимого обумовлюються розгалуженістю рослин, масою тисячі насінин, кількістю стручків на рослині, довжиною стебла, пластичністю до густоти стеблостою та строків сівби; насіння характеризується низьким вмістом ерукової киcлоти й глюкозинолатів (00) та підвищеним вмістом жиру; висока екологічна пластичність у різних ґрунтово-кліматичних умовах (ґрунти, температурний, світловий, поживний та водний режими); швидкий початковий стартовий ріст, висока зимостійкість та інтенсивне відновлення весняної вегетації; добре розвинена коренева система забезпечує високу посухостійкість та ефективне використання елементів живлення з ґрунту та добрив; рослинам властиве інтенсивне гілкування та висока стійкість до вилягання; пластичні до строків сівби та площі живлення рослин; придатність до технологій вирощування різного матеріально-ресурсного забезпечення.



Інноваційна ресурсоощадна технологія - це комплекс агротехнологічних заходів вирощування нових гібридів ріпаку, які мають ряд переваг за біологічними особливостями (зимо-стійкість, посухо- та жаростійкість, стресостійкість, швидкий стартовий ріст та розвиток) і господарсько-цінними ознаками (різностороннє використання, стійкість до шкідливих організмів та стресових погодних умов, пластичність до строків сівби та площі живлення рослин, стійкість до вилягання та осипання, висока врожайність і якість сировини та ін.).



