Події останніх місяців змушують знову повернутися до актуальної теми використання альтернативних джерел енергії у сільському господарстві. Різке зростання ціни на природний газ, дизельне пальне і бензин від зовнішніх постачальників та девальвація гривні зумовлюють істотне його подорожчання на внутрішньому ринку, що потребує адекватного реагування агробізнесу в умовах економічної невизначеності.
Тобто питання сьогодні стоїть не лише про диверсифікацію основних каналів постачання енергоресурсів, але й також про їх часткове заміщення, зокрема, за рахунок використання альтернативних шляхів одержання біопалива.
Напрями диверсифікації енергоспоживання
За даними Державної служби статистики України в 2013 році вітчизняні сільськогосподарські підприємства придбали для виробничих потреб близько 175,4 тис. т бензину, 1314,2 тис. т дизельного палива, 4,5 тис. т мазуту, 80,4 тис. т вугілля і 473,4 млн м3 природного газу на загальну суму 13,1 млрд грн (вказана вартість без урахування дотацій, компенсацій і податку на додану вартість), що становить, за експертними оцінками, 601 грн з розрахунку на один гектар сільськогосподарських угідь. У цінах нинішнього року ці витрати вже сягають понад 1000 грн.
Водночас, цей самий гектар спроможний забезпечити заміщення значної частки споживаних сільськогосподарськими підприємствами енергоресурсів, що дозволить суттєво підвищити фінансову стійкість аграріїв у нинішніх складних економічних умовах господарювання.
Навіть заміщення 10 % енергоспоживання традиційних видів палива альтернативними дозволить, за прогнозними підрахунками, зекономити більше 1 млрд грн, які сьогодні вкрай потрібні нашому аграрному сектору.
Мова вже не йде також і про додатковий дохід, який можна одержати від господарської діяльності у сфері поновлювальної енергетики.
Насамперед слід звернути увагу на два стратегічні напрями диверсифікації енергоспоживання — виробництво твердих видів біопалива із рослинних залишків побічної продукції сільськогосподарської діяльності і спеціально вирощених біоенергетичних культур та одержання біогазу через переробку органічної біомаси тваринництва і зеленої маси кукурудзи, різних видів трав, силосу тощо.
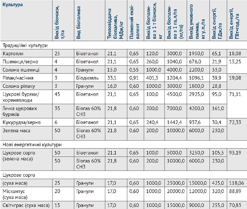
В Україні, за результатами досліджень науковців Інституту біоенергетичних культур і цукрових буряків НААН, складено змістовну таблицю біоенергетичного потенціалу різних видів рослин, ознайомлення з якою буде корисним для кожного, хто має бажання займатися агробізнесом у сфері альтернативних джерел енергії (табл. 1).
Таблиця 1. Порівняльна енергетична характеристика традиційних і нових
сільськогосподарських культур та енергетичних рослин
Джерело: Роїк М.В Роль і місце фітоенергетики в паливно-енергетичному комплексі України
Порівняльний аналіз таблиці 1 в розрізі сільськогосподарських культур, які займають найбільші площі посіву (а це сьогодні передусім зернові, ріпак і кукурудза), свідчить, що за виходом біопалива в літрах-кілограмах з 1 га найкращі показники за умов дотримання технології вирощування забезпечує зелена маса кукурудзи, яка є досить енергоємною сировиною для одержання біогазу, а також солома пшениці і ріпаку в якості твердого біопалива при виробництві його у вигляді гранул. Останні цілком можна використовувати як для власних потреб, так і на продаж, в тому числі закордон, де вони користуються значним попитом, особливо в країнах ЄС. Так, за інформацією Українського біопаливного порталу Pelleta.Com.Ua, на європейському ринку ціна якісних запакованих (20 кг) гранул становить від 7 до 8 євро, тобто 1 т їх коштує у перерахунку близько 7200 грн.
Для вітчизняних сільськогосподарських підприємств при реалізації заходів заміщення використання традиційних викопних паливно-енергетичних ресурсів однією з найбільш перспективних і, водночас, інвестиційно привабливих, поряд із виробництвом твердого біопалива в гранулах і пелетах, є саме біогазова технологія, що підтверджує світовий досвід її поширення у багатьох країнах.
Біогаз як універсальний вид біопалива можна утилізувати при виробництві теплової й електричної енергії, або ж очищувати його до стандартів якості моторного палива чи природного газу з подальшим допуском у газопостачальну мережу і газозаправні станції.
З огляду на наявні технологічні можливості та ринковий попит найбільш доцільною на сьогодні може бути як безпосередньо енергетична утилізація біогазу в когенераційних установках із виробництвом електричної і теплової енергії, так і його очищення та подальше використання в якості екологічно чистого біометану для заправки транспортних засобів, або ж для інших потреб, зокрема — сушарного комплексу. При цьому не обов’язково, щоб сировиною для одержання біогазу мають бути лише органічні відходи тваринництва, адже в багатьох країнах світу їх цілком ефективно замінюють зеленою масою спеціально вирощених рослин, зокрема кукурудзи, а також силосом.
Аналітиками агропорталу Latifundist.com підготовлено рейтинг «Топ 10 країн за площею посіву кукурудзи для біогазу в 2013 році», складений на основі даних Kleffmann Panel 2013 (табл. 2).
Україна, на жаль, у цьому рейтингу ще займає одне з передостанніх місць, попри наявність значних площ, які можливо використовувати для вирощування кукурудзи на біоенергетичні потреби та доступність сучасних біогазових технологій її переробки.
Останніми роками на ринку біогазового устаткування представлені як зарубіжні, так і вітчизняні компанії, котрі пропонують інноваційні технологічні рішення для господарств різних розмірів та фінансових можливостей. Це, зокрема, такі компанії, як Agra ferm Technologies AG, BD Agro Renewables, Big Dutchman Group, BINOWA Gmb, Biogas Nord, EnviTec, IHB Bioenergie GmbH, Lipp, MT- Energie, Schmack Biogas (Viessmann Group), Zorg Biogas, «Экотенк».
Окрім цього, інжиринговою і консультаційною діяльністю у сфері проектування і впровадження біогазових технологій займаються фахівці НТЦ «Біомаса» та Біоенергетичної асоціації України.
Біогаз як ефективне джерело енергії
Як уже зазначалося, одержуваний біогаз як універсальний вид біопалива можна використовувати для виробництва теплової і електричної енергій, або ж очищувати його до стандартів якості моторного палива чи природного газу з подальшим допуском у газопостачальну мережу та на газозаправні станції.
Сьогодні вже нескладно знайти інформацію про порівняльну оцінку економічної ефективності утилізації біогазу з виробництвом теплової і електричної енергій, тоді як інші альтернативні шляхи його використання залишаються ще поза увагою експертів.

Одним із найбільш перспективних напрямів є використання біогазу після додаткового очищення, як екологічно чистого пального — біометану для заправки транспортних засобів.
Для прикладу, можна привести розрахунок інвестиційних витрат і окупності впровадження інноваційної технології виробництва біометану з біогазу, одержуваного при переробці зеленої маси і силосу кукурудзи.
За типове господарство можна взяти середньостатистичне вітчизняне сільськогосподарське підприємство, яке має у землекористуванні щонайменше 2000 га сільськогосподарських угідь.
У розрахунках для порівняння використано дані офіційної статистики щодо середньої ціни купівлі сільськогосподарськими підприємствами силосу в 2013 р., що становила 266 грн/т, тоді як собівартість виробництва — 221,9 грн. Також передбачено варіант, де собівартість виробництва силосу найменша — 200 грн.
При економічному обґрунтуванні техніко-економічних розрахунків взято до уваги обладнання для виробництва й очищення біогазу від одного з провідних його виробників і постачальників в Україні, що вже вище згадувалися.
Вартість устаткування орієнтовна за даними моніторингу ринку, переведена з євро в гривні за курсом НБУ станом на кінець серпня 2014 р.
Основні характеристики роботи біогазової енергетичної системи для переробки силосної кукурудзи і виробництва біометану наведено в таблиці 3.
Таблиця 3. Основні характеристики біогазової енергетичної системи для
переробки силосної кукурудзи і виробництва біометану
Підрахунок річних експлуатаційних витрат на виробництво біометану із біогазу подано в таблиці 4.
Таблиця 4. Розрахунок річних витрат на виробництво біометану із біогазу
Економічна ефективність виробництва біометану із біогазу розрахована при середній ринковій ціні 1 м3 біометану 9 грн, вартості продажу 1 т твердих біодобрив — 1000 грн (табл. 5).
Таблиця 5. Розрахунок ефективності виробництва біометану з біогазу
З наведених вище використання біогазової технології в сільськогосподарському підприємстві визначатиметься двома чинниками — собівартістю виробництва силосу та ринковою ціною на біометан.
Вплив товаровиробника на ринкову ціну біометану обмежений, тоді як знизити собівартість виробництва силосу цілком можливо за рахунок дотримання інтенсивної технології вирощування кукурудзи.
Щоб визначитися, яку необхідно виділити площу під кукурудзу на силос, можна скористатися даними таблиці 6.
Таблиця 6. Розрахунок необхідної площі посіву під кукурудзою
на силос для забезпечення потреб БГУ
(7300 т у рік, коефіцієнт переводу в силос — 1,3)

У цій же таблиці можна побачити і розрахунок зміни собівартості вирощування зеленої маси кукурудзи на силос від рівня її урожайності при середньому розмірі витрат на 1 га за даними технологічної карти — 5000 грн.
Таким чином, поряд із найбільш поширеною практикою утилізації біогазу в когенераційних установках і виробництвом теплової й електричної енергій економічно вигідним для підприємців агробізнесу є також його очищення до біометану. Цей напрям використання біогазу є не лише інвестиційно привабливим з точки зору окупності витрат, але й дозволяє зменшити залежність від кон’юнктури ринку та забезпечити аграрне підприємство власним пальним.












