Враховуючи це, виникає проблема організації діяльності підприємств з таким розрахунком, щоб досягти ефективності у виробництві та реалізації продукції тощо.
В умовах, коли все змінюється і немає стабільності внаслідок варіації цін на продукцію, витрат, пов’язаних з її виробництвом та реалізацією, конкуренцією на ринку, від якої постійно змінюються доходи, прибутки підприємств, вважаємо доцільним дотримуватися основного принципу ефективного ведення господарської діяльності підприємств: забезпечення пропорційності, співвідношення між одержаним доходом від реалізації продукції, її собівартістю та прибутком від здійснення господарської діяльності з метою її відтворення, досягнення безперервності, циклічності процесів. Відомо, що безперервність процесів виробництва і реалізації продукції підприємствами є основою сталого їх економічного розвитку, характерним для якого буде постійне одержання прибутків, без яких неможливе відтворення виробництва, господарської діяльності.
Основу в управлінні підприємством становлять управлінські рішення, які приймаються його керівництвом, виходячи з певної економічної інформації, її аналізу та використання для досягнення поставлених цілей, одержання бажаного прибутку, зниження витрат, підвищення рентабельності. За вихідні дані доцільно прийняти статистичну інформацію, зокрема, середньорічну вартість активів, витрати праці на виробництво продукції, її собівартість, обсяги реалізації, ціну. При цьому кожному підприємству необхідно проводити аналіз зазначених економічних показників у динаміці, мати відповідні закономірності, залежності між конкретними показниками, що дасть змогу знайти між ними взаємозв’язок, визначати невідомі значення показників за відомими.
Оскільки управління бізнесом грунтується на передбаченні результатів діяльності підприємства, то використання методу прогнозування у прийнятті управлінських рішень має теоретичне і практичне значення, стає вирішальним у досягненні ефективності виробництва продукції. В основі управління бізнесом повинен здійснюватися принцип - вся вироблена продукція підприємством має бути реалізована.
Для того аби визначитися зі своєю участю на ринку, необхідно знати кількість виробників продукції, середній обсяг виробництва продукції одним виробником та кількість споживачів. З урахуванням вказаного, можна визначити середній обсяг реалізації продукції одним виробником. Виходячи із зазначеного принципу, якого доцільно дотримуватися в управлінні бізнесом підприємства, запишемо формулу:
де QB- обсяг виробленої продукції, QP- обсяг реалізованої продукції. Введемо у вказану формулу NB- кількість виробників продукції та NC- кількість споживачів продукції, QCB- середній обсяг виробництва продукції одним підприємством, QCP- середній обсяг продукції, який реалізовано одному споживачу, а також зазначимо, що не вся вироблена продукція може бути реалізована у вигляді математичного рівняння:
де QCH- середній обсяг нереалізованої продукції одним підприємством. Враховуючи вказане, запишемо формулу:
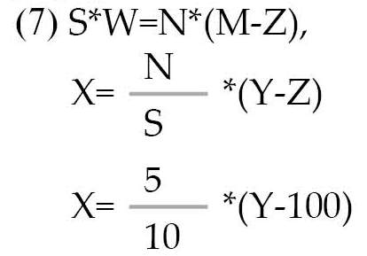
Позначимо у формулі показники, значення яких необхідно визначити через X та Y . Наведена формула матиме вигляд:

При Y = 0, тобто коли вся вироблена підприємством продукція реалізована, середній обсяг продукції, реалізованої одним підприємством, визначатиметься за формулою:

Підставивши у формулу (5) умовні числові значення, визначимо, який обсяг продукції залишиться для підприємства нереалізованим при відповідному співвідношенні кількості споживачів і виробників та умові, що підприємство намагається всю вироблену продукцію реалізувати, тобто QCB= X всі числові значення наведені в умовних одиницях:

Як бачимо з розрахунків, при збільшенні кількості споживачів, зменшується частка нереалізованої продукції у її обсягу виробництва. Підставивши умовні числові значення у формулу (6), визначимо середній обсяг продукції, який реалізовано одним підприємством:

при вказаних умовах господарство реалізує обсяг продукції уп’ятеро менше передбаченого. Можна також визначити середню вартість продукції, яку виробляє підприємство, скориставшись твердженням, що дохід виробника від реалізації продукції дорівнює грошовим витратам споживача. Звідси маємо формулу:

де S - кількість виробників продукції, W - середня вартість проданої продукції одним підприємством, N - кількість споживачів, W = (M – Z) середня вартість купленої продукції одним споживачем, M - кількість грошей споживача, Z - залишок грошей після купівлі продукції, W = X, M = Y, підставивши умовні числові значення визначимо при Y = 1000; X = 450 умовних одиниць, знаючи вартість проданої продукції та її обсяг, можна визначити ціну продукції.
Таким чином, використання вищенаведених значень, дає змогу управляти бізнесом, прогнозувати результати діяльності підприємства, досягати ефективності у виробництві продукції.
Враховуючи, що основним споживачем сільськогосподарської продукції є населення, то при розв’язанні питання, скільки необхідно її виробляти і реалізовувати, варто використовувати нормативи споживання продовольчих товарів на одного жителя, розподіл населення у тому чи іншому районі, області, кількість у них сільськогосподарських підприємств, обсяги виробництва і реалізації їх продукції.
Визначаючи діяльність свого підприємства, керівництву необхідно передбачати і враховувати виробництво й реалізацію продукції у конкурентів. На нашу думку, конкуренція між сільськогосподарськими підприємствами, які виробляють однакову продукцію, приймає більш жорсткий характер в умовах відсутності інформації про господарську діяльність кожного з них. Внаслідок комерційної таємниці окремого підприємства між ними немає обміну інформацією, а отже, через це будь-яке господарство не може визначитися зі своїм місцем на ринку. Як наслідок, інтереси різних за розміром підприємств порушуються, вони не одержують бажаних доходів, прибутків, не використовують виробничі можливості у повній мірі, у них є невпевненість в ефективності їхньої господарської діяльності.
Виходячи з твердження, що виробляти слід стільки, щоб можна було реалізувати, необхідно встановити достатню кількість виробництва сільськогосподарської продукції, яку визначатиме населення і виробничі можливості підприємств.
У зв’язку з цим, я переконаний, доцільним є такий розподіл виробництва і реалізації продукції між підприємствами, який би не порушував їхні інтереси, зокрема, у досягненні загальної мети насищення ринку різноманітною сільськогосподарською продукцією та задоволення нею потреб населення. В результаті - підприємства доповнюватимуть одне одного за обсягами виробництва і реалізації продукції.
Цього можливо досягти при послабленні конкуренції між ними за умови доступності кожному керівнику інформації про господарську діяльність різних сільськогосподарських господарств, у тому чи іншому районі, області України. Тим самим кожне підприємство визначатиме своє місце на ринку, плануватиме відповідно господарську діяльність, таким чином, ринок сільськогосподарської продукції стане організованим і регульованим, а не таким, яким він є наразі: не відомо як, хто і скільки виробляє і реалізовує продукцію.
Розвиток ринку сільськогосподарської продукції в Україні повинен бути саморегульованим, і це мають робити самі агроформування, оскільки держава, влада, міністерства і відомства не втручаються у власні справи підприємств, зокрема, ведення їх господарської діяльності. Однак державні органи контролюють надходження податків до бюджету з прибутку сільськогосподарських підприємств і цим самим взаємодіють з ними, здійснюючи вплив на них, примушуючи їх одержувати більші доходи, прибутки для відтворення свого виробництва.
У регулюванні ринку сільськогосподарської продукції братимуть участь великі, середні та малі підприємства, що конкурують між собою. Розподіл сільськогосподарських підприємств на великі, середні і малі здійснюється за їх величиною середньорічної вартості активів на основі графічної залежності цього показника від кількості підприємств у відповідній області України. Визначається, у якій області переважають ті чи інші підприємства за розміром.
Разом з тим, економічні взаємовідносини між підприємствами визначатимуться тим, яку вони обрали стратегію ведення господарської діяльності. На нашу думку, кожне із зазначених підприємств може обрати свою стратегію. Зокрема, перша стратегія - не входити у боротьбу, а знаходити свого споживача на ринку. Друга полягає у тому, аби при всіх можливих ситуаціях на ринку мінімізувати свої витрати у виробництві продукції. Третя передбачає налагодження економічних взаємовідносин між виробничими, переробними і торговельними підприємствами, можливість їх об’єднання з метою послаблення конкуренції при виробництві та реалізації однакової продукції. Зазначені напрями розвитку підприємств у їх стратегіях можуть бути використані як для окремого підприємства, що здійснює свою господарську діяльність самостійно, так і для декількох, об’єднаних між собою у досягненні спільних інтересів. Отже, одним зі шляхів послаблення конкуренції між підприємствами є їх об’єднання для досягнення загального результату, збільшення частки реалізації продукції на ринку, одержання максимального прибутку виходячи з виробничих можливостей.
Перспективним функціонуванням підприємств вважаємо їх групи - кластери, це нова форма об’єднання компаній, коли підприємства-учасники кластеру добровільно вступають між собою в економічні взаємовідносини, які обумовлюються взаємовигідністю інтересів, доповнюють один одного у діяльності, функціонують на певній території і можуть формувати на ній розвиток соціальної інфраструктури.







